Description
****2025 complete solution playlist**ππ€π»
***All JEE Main/AIEEE questions playlist***ππ€π»
***All NEET PYQs playlist***ππ€π»
β β β πYou can also find for chapterwise playlist of JEE MAIN and NEET on the channelππ»ππ»β β β
#jee,#jeemain,#iitjee,#neet,#pyq,#importantquestions,#jeemainpapersolution,#jeemain2025,#physicsmonk
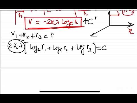
Three infinitely long wires with linear charge density Ξ». are placed along the x-axis, y-axis and z- axis respectively. Which of the following denotes an equipotential surface ?
(1) xy + yz + zx = constant.
2) (x + y) (y + z) (z + x) = constant
(3) (x2 + y2) (y2 + z2) (z2 + x2) = constant 4)xyz=constant
Welcome to Allen.AskDoubtnut.com β Indiaβs Largest Platform for Instant Doubt Solutions
Allen.AskDoubtnut.com is the ultimate destination for instant video solutions to your doubts in Physicsβfrom Class 11th to JEE Advanced and NEET level. With a growing library of over 15 lakh+ expert-created video solutions, we make learning fast, easy, and effective.
Just click a photo of your doubt using the AskDoubtnut in the end and submit in google, and get an instant, step-by-step video explanation. Itβs the simplest way to solve doubts in secondsβwhether youβre studying for CBSE board exams, IIT-JEE, NEET, or any other competitive exam.
Why AskDoubtnut.com?
β’ 10,00,000+ Free Video Solutions
β’ Covers NCERT, JEE Main, JEE Advanced, NEET, and State Boards
β’ Unlimited Doubt Solving with Just One Click
β’ Instant, Concept-Based Answers by Experts
β’ 24Γ7 Learning Support via the AskDoubtnut App
Trusted by millions of students across India, Allen.AskDoubtnut.com helps you turn doubts into confidence. No more waitingβask, learn, and grow with Allen.AskDoubtnut.com!
#DoubthotoDoubtnutkaro









